로그인 로그인 상태유지 ID/PW 찾기 회원가입
학원 공지사항
제목 [수정]2026년 CPA 1차 대비 전국 모의고사 정오표(2월 1일 시행)
등록일 2026-02-02 조회 8755
첨부  

2026년 CPA 1차 대비 전국모의고사 정오표 안내

남은 기간 최선을 다하시어 시험 당일 좋은 결과 있으시길 바라겠습니다.

과목명 수정 내용
회계학 [문제 23번]
정답
⑤ →
[문제 23번]
해설
(해답지 p.98)
(3) 희석주당순이익 : 500 (희석효과 없음) → (3) 희석주당순이익 : 477


[문제 30번] (주)대한은 20×1년 1월 1일을 (주)민국을 흡수합병하였다.

(주)대한은 20×2년 1월 1일 (주)민국을 흡수합병하였다.
[문제 31~32번] (주)민국도 별도재무제표에서 (주)만세의 투자주식을 원가법으로 회계처리하고 있다.

(주)민국은 별도재무제표에서 (주)만세의 투자주식을 지분법으로 회계처리하고 있다.
[문제 31번]
정답
① → 모두 정답
[문제 32번]
정답
④ → 모두 정답
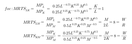
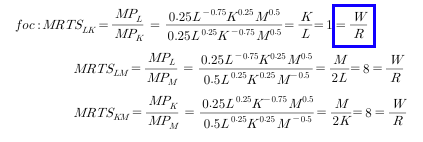
경영학 [문제 23번]
정답
⑤ → , ⑤ [복수 정답]
[문제 23번]
해설
(해답지 p.10)
 해설 추가 : ① 전통적접근법은 최적자본구조가 존재한다고 보는 이론으로 기업가치가 최대가 되는
 적정 부채수준이 존재한다. 만약 이 지점을 초과하여 부채를 추가로 사용할 경우 기업가치는 감소하고
 가중평균자본비용은 상승하게 된다.
경제원론 [문제 6번]
해설
(해답지 p.14)


[문제 15번]
해설
(해답지 p.19)
현재 PMC와 SMC 사이의 면적이 기업 A가 누리는 비용절감의...

현재 PMC와 SMC 사이의 면적이 기업 B가 누리는 비용절감의...

번호 제목 파일 등록일 조회
공지   2026-03-13 535
공지   2026-03-11 1180
공지   2026-03-09 1061
공지   2026-03-04 10607
공지   2026-02-27 7728
공지   2026-02-26 7208
공지   2026-02-23 11022
공지 세무사 유예종합반 2순환, 진도표.zip 2026-02-23 9007
공지   2026-02-19 15916
공지   2026-02-13 7705
공지   2026-01-16 16902
공지   2025-04-17 260813
TOP   2026-03-03 65
TOP   2023-04-26 613203
TOP   2023-02-15 626907
TOP   2022-06-10 662931
TOP   2019-07-08 723872
TOP   2018-08-20 686718
TOP   2018-06-25 711375
1837   2026-03-04 909
1836   2026-02-23 2291
1835   2026-02-12 1621
1834   2026-02-12 3054
1833   2026-02-11 1276
1832   2026-02-06 5876
게시글 검색 검색 뷰어다운로드 :  한글뷰어 워드뷰어 엑셀뷰어 파워포인트뷰어 아크로벳뷰어 압축해제
국세청 강의신청 오정석G-TELP 오정석G-TELP정석영어기초 오정석G-TELP단기달성패키지 학원시간표
상담코너
공인회계사 상담
세무사 상담
스터디매니저학습상담
공인회계사 종합반
이승원
세무사 종합반
주건희
학원 주변
식당 정보
고시원 정보
학원소개| 찾아오시는 길| 이용약관| 개인정보취급방침
Logo
서울 중구 을지로 50 을지한국빌딩 4층 | 대표이사 구순서 | 개인정보관리책임자 신재운
사업자등록번호 110-81-62715 통신판매번호 제2017-서울중구-0762호 | 학원등록번호 2874호
TEL : 02-312-4321 | FAX : 02-312-6168 | Copyright @ 우리경영아카데미. All right reserved.
공정거래위원회